
수박과 딸기의 시설하우스에서 수밀력 우수 장원벌 (Apis mellifera L.)의 화분매개 형질 비교 및 평가
Abstract
Recent climatic anomalies have significantly reduced the number of overwintering honeybee colonies in South Korea, resulting in increased colony prices and affecting greenhouse pollination. This study evaluated the pollination efficiency of the Jangwonbee (Apis mellifera L.) with enhanced nectar-gathering capacity and examined its potential application in greenhouse-grown crops. Comparative experiments were conducted on short-term (watermelon) and long-term (strawberry) flowering crops to assess visitation rates and pollination outcomes. In watermelon trials, Jangwonbeess and conventional pollinators exhibited similar activity patterns with no significant differences in flower visitation rates, fruit set, or fruit characteristics. In strawberries, Jangwonbees had more than twice the daily entrance-exit rate per hive compared to conventional pollinators and maintained a longer colony strength. Regression analysis indicated a slower colony decline in Jangwonbees, but Durbin-Watson statistics suggested a strong positive autocorrelation. Overall, the pollination efficiency of Jangwonbees was comparable to that of conventional honey bees, indicating no significant differences in pollination performance under controlled greenhouse conditions. The findings of this study provide fundamental data for the development of high-efficiency pollinating honeybee strains for greenhouse-grown crops and indicate the potential applicability of Jangwonbees. However, as this study presents preliminary findings, further research is required to refine pollination traits and develop more efficient honeybee varieties for optimal pollination, as well as to validate their effectiveness in diverse crop environments.
Keywords:
Jangwonbee, Pollination efficiency, Greenhouse, Strawberry, Watermelon서 론
꿀벌 (Apis mellifera L.)은 단순한 꿀 생산을 넘어 농작물의 주요 화분매개자로서 중요한 역할을 한다 (Hung et al., 2018). 그러나 기후변화로 인한 환경변화는 양봉 산업과 농작물의 화분매개에 큰 영향을 미치고 있다 (Rajagopalan et al., 2024). 특히, 월동 꿀벌 봉군의 감소는 화분매개곤충의 공급 부족을 초래하여 작물의 생산성과 품질 저하를 야기할 뿐 아니라 농작물의 수정용으로 쓰여지는 벌의 가격도 상승시킨다 (Kim, 2022). 실제로 2005년에 미국에서 처음 보고된 국외의 꿀벌봉군붕괴현상 (Colony Collapse Disorder, CCD)으로 인해 아몬드 농가의 화분매개용 꿀벌 공급 부족문제를 초래하여 봉군의 가격이 2006년 두 배 이상으로 상승하였고, 해마다 월동 꿀벌의 소실로 인하여 봉군의 임대 가격은 해마다 상승하고 있다 (Carman, 2011; Goodrich, 2019). 국내에서도 2022년 꿀벌 월동소실로 인하여 꿀벌의 화분매개 의존도가 높은 딸기, 수박과 같은 작물에서 화분매개용 꿀벌의 부족현상이 나타났다 (MAFRA, 2023). 이와 같이 화분매개용 꿀벌의 부족으로 인하여 농작물에서 더욱 꿀벌을 효과적으로 사용하기 위한 방안이 요구되고 있다.
국내에서 화분매개곤충 사용이 가장 많은 작물은 수박 (Citrullus lanatus)으로, 2022년 기준 수박의 총 재배면적은 약 11,762 ha이며, 이 중 79.8%가 시설재배 형태이며, 반촉성재배 방식이 일반적이다 (Jung et al., 2021; Statistics Korea, 2023). 적정 생육온도 주간 25~30℃, 야간 16~20, 지중 온도 23~30℃를 유지하는 시설하우스 환경에서 (Lee et al., 2019a) 과거 인공수분이 주로 사용되었으나, 비용과 효율성 문제로 2010년 이후 양봉꿀벌을 활용한 화분매개 방법이 확대되었다 (Lee et al., 2019a, 2019b). 현재 수박 재배 시 꿀벌 활용률은 92%이며, 연간 23만 개의 봉군이 사용되고 있다 (Yoon et al., 2021). 딸기 (Fragaria×ananassa Duch.)는 국내에서 두 번째로 화분매개곤충 사용이 많은 작물로 장미과 (Rosaceae)에 속하는 다년생 식물이다 (Lee et al., 2019b). 국내 딸기 재배면적은 6.062 ha로 원예작물 중 고소득 작물로 분류되며 (Jung et al., 2021; Lee et al., 2021), 주로 9월 말부터 5월 말까지 시설하우스에서 90% 이상 재배된다. 시설 내 적정 생육온도는 주간 17~23℃, 야간 10℃ 내외이다 (Lee et al., 2019b). 특히 12~1월 2화방 개화 시 기형과 발생률이 높아 화분매개용 벌의 역할이 중요하다 (Lee et al., 2022).
꿀벌의 화분매개 의존도가 높은 수박과 딸기의 안정적인 생산을 위해 작물별로 벌의 표준화된 이용기술과 더불어 화분매개 효율이 높은 화분매개용 꿀벌 품종의 개발이 필요하다. 2017년부터 농촌진흥청을 중심으로 딸기, 수박의 화분매개 의존도가 높은 작물을 대상으로 한 표준 이용기술이 개발되어 보급되고 있다 (Lee et al., 2019a, 2019b). 그러나 화분매개 효율성이 높은 꿀벌의 품종에 관련된 연구는 거의 없는 실정이다.
현재 국내에 품종으로 등록된 양봉꿀벌들 가운데, ‘장원벌’은 꽃꿀 채집량이 특히 높은 것으로 보고되어 있다 (Lee et al., 2019c). 실제로 장원벌 일벌은 꽃 한 송이에서 채집할 수 있는 꽃꿀의 양이 일반벌에 비해 1마리당 평균 19.98 mg으로, 약 8∼46% 더 우수하다 (Kim et al., 2015). 이로 인해 동일한 시간 동안 더 많은 꽃을 방문할 수 있는 가능성이 크며, 결과적으로 화분매개 효과가 뛰어날 것으로 기대된다.
이에 본 연구에서는 국내에서 육성된 수밀력 우수 품종인 장원벌과 기존 화분매개용 꿀벌 간의 화분매개 형질을 비교하여, 작물의 개화 특성에 따른 화분매개 효율 차이를 분석하였다. 이를 통해 화분매개에 유리한 형질을 선별하고 육종을 위한 평가 기준을 마련하는 동시에, 장원벌의 실제 화분매개 효과와 적용 가능성을 구체적으로 검증하고자 하였다. 특히, 화분매개 기간이 짧은 수박과 긴 딸기를 대상으로 하여 작물별 환경 조건에 따른 화분매개 활동성과 생산물 조사를 통해 종합적으로 평가하고자 한다.
재료 및 방법
1. 대상 작물 및 실험 포장
본 연구는 수박과 딸기를 대상으로 수행되었으며, 수박실험에는 ‘강력삼복’ 품종을 사용하였으며, 전라북도 고창군 아산면 (35°25ʹ50ʺN, 126°35ʹ50ʺE)의 수박 재배 농가 시설하우스에서 수행되었다. 실험 포장의 면적 및 수박 모종 수는 화분매개용 꿀벌 처리구가 480 m2/440주, 420 m2/370주, 300 m2/250주이며, 장원벌 처리구는 540 m2/3동, 각 500주로 구성되었다 (Table 1). 수박의 재배는 농가에서 통상적으로 사용하는 관행적 재배 방식에 따라 수행되었다.
딸기실험에는 ‘킹스베리 (Kingsberry)’와 ‘홍희 (Honghee)’ 두 품종을 사용하였으며, 충청남도 논산시 광석면 (36°16ʹ2ʺN, 127°5ʹ32ʺE) 및 노성면 (36°19ʹ15ʺN, 127° 6ʹ2ʺE)의 딸기 재배 농가 2곳에서 수행되었다. 딸기는 수경재배 (hydroponic) 방식으로 재배되었으며, 포장의 면적 및 딸기 모종 수는 760 m2/5,800주, 760 m2/5,800주, 660 m2/6,100주, 660 m2/5,100주, 장원벌 760 m2/각 5,800주, 760 m2/각 5,800주, 660 m2/6,100주, 660 m2/5,400주로 정식되었다. 딸기는 농가에서 일반적으로 사용하는 고설재배 방식에 따라 시설하우스 내에서 재배되었다.
2. 실험 곤충 및 준비
실험에 사용된 양봉꿀벌 (Apis mellifera L.)은 장원벌과 일반 교잡종 화분매개용 꿀벌 두 종류로 구성하였다. 화분매개용 꿀벌은 국립농업과학원 실험 양봉장에서 사육 중인 교잡종 (Hybrid)으로, 농가에서 실제로 널리 사용하는 상용벌이며, 특정 형질을 선발하거나 육종된 품종은 아니며, 수박과 딸기 작물의 수분 특성과 시설하우스의 환경 조건을 고려하여 봉군을 구성하였다. 장원벌 봉군은 당진시꿀벌연구회에서 모계 (AC)와 부계 (D)를 예천군곤충연구소에서 구매한 후, 도서 지역 격리교미장에서 교배하여 생산하였다. 교배를 통해 생산된 장원벌 (F1)은 실험 시작 1개월 전에 구매하였으며, 국립농업과학원 실험 양봉장에서 봉군 사양관리를 거쳐 화분매개용 꿀벌과 동일한 조건의 봉군으로 구성하였다.
실험에 사용된 벌통은 농촌진흥청에서 개발한 화분매개 전용 벌통 (49.5 cm×20.5 cm×32.5 cm)을 사용하였다 (Lee et al., 2019a, 2019b; Korea Patent No. 10-1931583). 화분매개용 꿀벌과 장원벌의 수박을 대상으로 한 단기사용 실험에서는 5,000마리 (여왕벌 1마리, 소비 2장)로 구성하여 2023년 5월 25일부터 6월 14일까지 시설하우스에 투입하여 운영하였다. 딸기를 대상으로 한 장기사용 실험에서는 10,000마리 (여왕벌 1마리, 소비 4장, 꿀 저장 소비 1장, 대용화분 1.25 kg)로 2023년 10월 25일부터 2024년 4월 30일까지 시설하우스에 투입하여 활용하였다.
3. 시설하우스에서 꿀벌의 화분매개 활동 특성 조사
시설하우스에서 수박꽃 개화 시기인 5월 25일부터 6월 14일까지 20일 동안 화분매개용 꿀벌 3봉군, 장원벌 3봉군을 방사였다. 수박의 꿀벌 활동성 조사는 3~4화방이 7~10일간 개화하는 시기로 일벌 (외역봉)의 최대 활동 기간 동안 조사하였다. 꿀벌의 소문입출입 일벌 수 조사는 5월 30일부터 6월 1일까지 3일 동안 수행하였다. 하루에 9시부터 17시까지 1시간에 1번씩 총 18회에 걸쳐 소문 앞 꿀벌의 입출입 일벌 수를 5분간씩 조사하였다. 입소수와 출소수는 수동 카운터 계수기 2개를 이용하여 조사하였다. 수박꽃에 방화하는 방화 활동 일벌 수를 조사하기 위해 총 13회에 걸쳐 10분씩 포장 내를 천천히 걸으면서 수박꽃에 앉아있는 벌 수를 기록하였다. 꽃 간 이동시간은 총 50회에 걸쳐 시간대별로 수박꽃에 일벌이 앉아있는 시간과 이동시간을 스톱워치를 사용하여 조사하였다. 수박 재배는 농가 관행 재배법에 따라 동일하게 수행되었다.
딸기 꿀벌의 활동량 측정은 이미지 기반 벌 활동량 측정장치 (Lee et al., 2020)로 일 평균 소문출입량 (bee traffic)으로 나타내었다. 화분매개 기간 동안 봉군의 수명을 조사하기 위하여 12월부터 4월까지 10일 단위로 봉군 검사하여 육안으로 소비의 각 면당 일벌이 붙어있는 양을 측정하여 계산하였다. 딸기 재배는 농가 관행 재배법에 따라 동일하게 수행되었다.
4. 꿀벌의 화분매개 활동에 의한 생산물 조사
장원벌의 단기사용 작물 수박에서 화분매개 효과를 확인하기 위하여 수확된 과실의 품질을 조사하였다. 수박에 사용한 꿀벌의 화분매개 효과를 조사하기 위해 착과율 조사는 수분 10~15일 후 덩굴별 어미덩굴의 15~20마디에 수박 과실을 확인하였다. 수박 생산물 조사는 처리구별로 무작위 5개씩 총 30개를 선발하여 과중, 과장, 과단, 당도, 종자 수를 조사하였다. 무게는 전자저울 (SW-30H, CAS, China)로 측정하였고, 직경과 횡경은 수박의 끝부분에서 직각으로 내려 바닥표시를 한 다음 줄자 (2 M DIAMETER SR-01, MDS, China)와 전자 캘리퍼스 (CD-15CP, Miitutoyo, Japan)를 이용하여 거리를 측정하였다. 당도는 절개 수박의 중심부와 끝부분 즙을 내어 당도계 (PAL-BXIACID5, Atago, Japan)를 이용하여 측정하였다. 종자 수는 수박 1통에 들어있는 수정된 종자 수를 모두 조사하였다.
수박에 사용한 꿀벌의 화분매개 효과를 확인하기 위해 딸기 상품과율 조사는 화방별로 총 2차례 (1회: 2024년 2월 26일, 2회: 2024년 4월 30일) 조사하였다. 조사 방법은 비닐하우스당 각각 30개씩 과실을 무작위로 수확 후 하우스별로 수확된 딸기에서 기형과를 뺀 나머지 과실 중 12 g 이상 되는 과실의 비율을 백분율로 나타내었다 (Kim et al., 2017). 수확물 품질조사는 수확된 딸기의 무게, 당도, 산도를 조사하였다. 무게는 전자저울 (CB-3000, AND, Seoul, Korea)을 사용하였고, 당도는 수확된 딸기 10개를 거즈로 착즙하여 디지털 당도계 (PR-32α, Atago, Tokyo, Japan)로 측정하였다. 산도는 과즙 5 mL에 2차 증류수 35 mL를 가한 후 0.1 N NaOH로 pH를 적정하고 구연산으로 환산하여 나타내었다 (Kim et al., 2017).
5. 통계분석
화분매개용 꿀벌과 수밀력 우수 품종 장원벌의 화분매개 활동 조사로 평균 소문입출입 일벌 수, 평균 방화 활동 일벌 수, 평균 방화 활동시간, 착과율과 수확 후 과중, 과장, 과단, 당도 등 수확물 품질조사의 비교 분석은 t-test로 분석하였다. 모든 데이터셋은 Kolmogorov-Smirnov test와 Shapiro-Wilk test를 통하여 정규성을 검정하였다. 이번 연구의 통계분석 소프트웨어는 SPSS PASW 26.0 for windows (IBM, Chicago, USA)를 사용하였다.
결과 및 고찰
1. 시설하우스 수박에서 꿀벌의 화분매개 활동 특성 조사
시설하우스 수박에서 화분매개용 꿀벌과 장원벌의 평균 소문입출입 일벌 수를 조사한 결과 입소수는 화분매개용 꿀벌 23.6±15.8마리, 장원벌 24.1±17.0마리이며, 출소수는 화분매개용 꿀벌 21.1±16.1마리, 장원벌 22.7±16.9마리로 조사되었다 (Table 2). 이를 시간대별로 보면 평균 소문입출입 일벌 수가 화분매개용 꿀벌은 오후 1시, 장원벌은 오전 12시에 가장 낮고, 오후에 화분매개용 꿀벌은 오후 4시, 장원벌은 오후 3시에 가장 높게 나타났다 (Fig. 1). 박과 작물은 오전 중에 개화와 꽃가루 생성이 이루어지고 이 시기에 착과가 주로 발생하기 때문에 (Lee et al., 2006), 수박 재배에서는 꿀벌의 방화 활동이 오전에 집중되는 것이 매우 중요하다. 실제로, 수박과 같은 박과 작물에서는 오후 시간대의 방화 활동이 열매 착과에 유의한 영향을 미치지 않는 것으로 보고된 바 있다 (Pisanty et al., 2016).

Comparison of the average number of foraging honeybees entering and exiting the hive per 5-minute interval during watermelon pollination
Hourly activity of Jangwon and pollinating honeybeeduring watermelon pollination. Hourly entrance-exit activity was recorded from 09:00 to 18:00 for three consecutive days (May 30~June 1, 2023) during watermelon flowering. Watermelon, as a Cucurbitaceae crop, typically blooms in the morning, and effective pollination occurs within this period. This figure illustrates differences in diurnal foraging behavior between bee types, with a particular focus on morning activity levels.
화분매개용 꿀벌과 장원벌의 평균 방화 활동 일벌 수를 비교한 결과, 화분매개 꿀벌은 40.3±9.5마리, 장원벌은 43.2±8.9마리로 장원벌이 다소 높은 경향은 있었으나 통계적으로 유의한 차이가 나타나지 않았다 (Fig. 2, t10= 0.533, p<0.605). 시간대별로 보면 화분매개용 꿀벌과 장원벌 모두 오전 9시에 화분매개 활동성이 가장 높았으며, 오후 1시 이후에는 활동성이 감소하는 유사한 패턴을 보였다 (Fig. 3). 이는 기존 연구에서 양봉꿀벌의 방화 활동이 오전 10시에 최고조에 달한다고 보고된 결과와 일치한다 (Yamada, 1981).
Comparison of the number of pollinating honeybeeper 5 minutes between pollinating honeybeeand Jangwonbeeunder greenhouse conditions. Statistical significance was tested using an independent t-test. Error bars indicate the standard deviation.
Diurnal foraging activity of pollinating honeybee and bee during watermelon flowering. The number of foraging worker bees per 10 minutes was recorded hourly to assess pollination efficiency.
평균 방화 활동시간은 화분매개용 꿀벌 7.1초, 장원벌 7.4초로 나타나, 시설 수박재배에서 일반 양봉꿀벌의 평균 방화 활동시간과 유사했다 (Lee et al., 2008a; Fig. 4, t226=0.699, p<0.485). 평균 방화 활동 이동시간은 화분매개용 꿀벌 4.3초, 장원벌 4.0초로 짧은 경향은 있었으나 통계적 유의한 차이는 없었다 (Fig. 5, t20.516=-1.166, p<0.257).
Comparison of visiting time on watermelon flowers and flight time between flowers for pollinating honeybees. Statistical significance was tested using an independent t-test. Error bars indicate the standard deviation.
Comparison of the mean fruit set rate per unit area based on pollinating activity of pollinating honeybeeand bees in watermelon. Statistical significance was tested using an independent t-test. Error bars indicate the standard deviation.
화분매개용 꿀벌과 장원벌의 평균 입출입 일벌 수, 평균 방화 활동 일벌 수, 평균 방화 활동시간 및 이동시간 모두 유의한 차이는 보이지 않았다. 이는 장원벌의 개체당 꽃꿀 수집 능력이 높음에도 불구하고 수박꽃에 방문 횟수가 화분매개용 꿀벌보다 유의미하게 증가하지 않았음을 시사한다. 결론적으로, 시설하우스에서 수박의 효과적인 화분매개를 위해서는 단순한 품종 특성보다는 최적의 봉군 구성과 밀도 유지가 중요할 것으로 판단된다. 따라서 단기사용 작물인 수박의 시설 재배 환경에서 꿀벌 봉군의 적정 크기와 배치 기준을 바탕으로 사용하는 것이 바람직하다.
2. 꿀벌의 화분매개 활동에 의한 수박 생산물 조사
화분매개용 꿀벌과 장원벌의 화분매개 활동성에 따른 수박꽃의 착과율은 화분매개용 꿀벌 91.7%, 장원벌 88.3%로 측정되어 두 집단 간 통계적으로 유의한 차이는 없었다 (Fig. 5, t20.516=-1.166, p<0.257).
수박 수확물의 생산성 분석 결과, 평균 과중은 화분매개용 꿀벌 처리구에서 7.6 kg, 장원벌으로 측정되었으며, 이는 여름철 출하 수박의 평균과중 (6.8~7.7 kg)과 유사한 수 준이었다 (Lee et al., 2006). 과장의 경우 두 처리구 간 차이가 없었으며, 과단 역시 비슷한 값을 나타냈다 (Table 3, 과중 t28=-0.494, p<0.625; 과장 t19.473=0.095, p<0.925; 과단 t28=-0.257, p<0.799).
당분 분석에서는 화분매개용 꿀벌이 평균 14.8, 장원벌 13.7로 유의미한 차이를 보였다 (Table 3, t28=2.702, p<0.012). 그러나 수박 생산 과정에서 열과 발생이 관찰되었으며, 이는 과실 내부의 압력이 외피 조직의 물리적 저항 한계를 초과할 때 나타나는 생리적 현상으로 알려져 있다. 일반적으로 착과 이후 저온으로 생육이 일시 정지되었다가 고온 환경에서 급속히 과비대가 이루어지는 조건에서 열과가 발생할 수 있다. 또한 건조한 토양 상태에서 갑작스럽게 다량의 물이 공급될 경우, 과실 내부 압력이 급격히 상승하면서 열과가 유발된다 (Jung et al., 2021). 이와 같은 수분 조건과 관련된 열과 메커니즘은 해외 연구에서도 유사하게 보고되었다. Walters (2005)는 수박 재배 시 토양 수분 상태와 꽃 수정 이후의 급격한 생육 변동이 과실 품질 및 수분 당도에 영향을 줄 수 있음을 제시한 바 있으며, 과실의 생리적 균열 현상은 과비대기 환경에서 빈번하게 발생한다고 설명하였다. 본 연구에서는 수분 공급이 당도와 밀접한 연관성을 가질 수 있음을 시사하나 (Jung et al., 2021), 시설 내 온·습도 및 수분 관리 등 복합 환경 요인을 포함한 명확한 인과관계를 규명하기에는 제한적이 었다.
수박 한 통당 평균 수정된 종자 수는 화분매개용 꿀벌 577±147.5개, 장원벌 502.7±125.2개로 측정되었다. 일반적으로 수박꽃에 방문 횟수가 증가할수록 종자 수가 증가하는 것으로 알려져 있으나 (Stanghellini et al., 1988), 두 처리구 간 유의한 차이는 없었다 (Table 3, t10=-0.914, p<0.369).
이상의 결과를 종합해 보면, 수박에서 화분매개용 꿀벌과 장원벌은 착과율, 과중, 과단, 수정된 종자 수에 차이가 없으며, 당도의 차이는 시설재배 환경에서의 관수에 따른 영향일 가능성이 높다. 따라서 수밀력 우수 품종 장원벌과 화분매개용 꿀벌과의 단기사용 작물 수박에 화분매개 능력의 차이가 없는 것으로 나타났다.
3. 시설하우스 딸기에서 꿀벌의 벌 활동량 및 봉군 세력 비교
딸기에서 화분매개용 꿀벌과 장원벌의 평균 소문입출입 일벌 수를 비교한 결과, 입소수는 화분매개용 꿀벌이 574.7±1186.3마리, 장원벌이 1232.3±516.6마리였으며, 출소수는 화분매개용 꿀벌이 262.9±1910.4마리, 장원벌이 454.0±695.1마리로 조사되었다 (Table 4, 입소수 t239.000=-3.509, p<0.001; 출소수 t264.025=-2.648, p<0.009). 하루 동안 평균 소문입출입 일벌 수는 화분매개용 꿀벌이 837.6±1643.3마리, 장원벌이 1686.3±2531.8마리로, 장원벌이 일반벌보다 약 2배 높은 값을 보였다 (Table 4, 1일 평균 소문입출입수 t245.332=-3.374, p<0.001).

Comparison of daily bee activity and incoming and outgoing bees between pollinating honey bees and bees
시간대별로 보면 일벌의 소문입출입 활동은 오전 6시부터 오후 7까지 지속되었으며, 최대 활동시간은 화분매개용 꿀벌과 장원벌 모두 오후 1시로 동일하게 나타났다 (Fig. 6). 딸기 시설하우스에서 벌은 조도와 자외선량이 정점에 이른 오전 11시보다 정점이나 약간 떨어지는 오후 1시에 활동량이 증가하는 경향을 보인다 (Tsujikawa, 1981; Lee et al., 2008b).
Comparison of hourly entrance and exit activity per hive between pollinating honeybeeand bees during strawberry pollination. Observations were recorded hourly from 08:00 to 18:00 under greenhouse conditions.
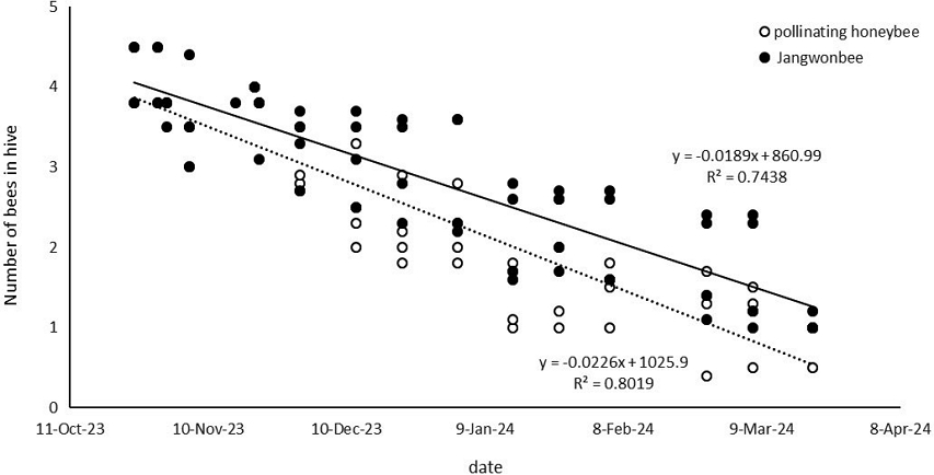
딸기는 5개월 이상 장기적으로 화분매개가 필요한 작물로 단순한 활동성뿐만 아니라 봉군 세력 유지가 안정적인 화분매개 효과를 결정하는 중요한 요인이다. 봉군 세력 유지 조사 결과 화분매개용 꿀벌보다 장원벌이 3월 초까지 더 오랜 기간 동안 봉군 세력을 유지하는 것으로 나타났 다 (Fig. 7). 회귀분석 결과, 화분매개용 꿀벌의 봉군 감소율은 y=-0.0226x+1025.9 (F1,49=198.410, p<0.0001, R2=0.8019), 장원벌의 봉군 감소율은 y=-0.00189x+860.99 (F1,51=148.051, p<0.0001, R2=0.7438)로 나타났다. 기울기상으로는 장원벌이 화분매개용 꿀벌보다 봉군 세력을 더 오래 유지하는 특성을 보였지만, Durbin-Watson 검정에서 화분매개용 꿀벌 DW=0.774, 장원벌 DW=0.627로 1 미만의 값이 나타나 강한 양의 자기상관이 존재하는 것으로 확인되었다. 이는 봉군 세력 감소가 시간이 지남에 따라 특정한 패턴을 보이며 진행됨을 시사한다. 꿀벌 봉군 세력의 시계열 분석에서도 장원벌 수와 화분매개용 벌 수 모두 1차 시차에서 높은 자기상관을 나타냈으며 (ACF=0.689, 0.671), Box-Ljung 검정 결과 p<0.05로 나타나 잔차의 독립성이 확보되지 않았으므로 딸기 시설하우스 내에서 두 종의 봉군 세력 차이가 통계적으로 유의미하지 않았다.
4. 꿀벌의 화분매개 활동에 의한 딸기 생산물 조사
화분매개용 꿀벌과 장원벌의 화분매개 활동성에 따른 딸기의 상품과율 (정상과율, Rate of normal product) 및 과실 특성을 비교 분석하였다. 상품과율 분석 결과, 화분매개용 꿀벌에서 96.3%, 장원벌 93.6%로 나타나 통계적으로 유의미한 차이는 없었다 (Fig. 8, t12.420=1.236, p<0.239). Tsujikawa (1981)는 꿀벌 화분매개에 의한 딸기의 상품과율이 90~97%라고 보고했고, Lee et al. (2006)은 92.3%로 유사한 수준으로 확인되었다.
Comparison of the merchantable quality percentage of strawberries pollinated by pollinating honeybeeand bees. Error bars indicate the standard deviation.
딸기 수확물 품질 조사 결과, 무게는 화분매개용 꿀벌 33.1g, 장원벌 31.9 g이며, 당도와 산도는 비슷하게 조사되었다 (Table 5, 무게 t94=0.450, p<0.654; 당도 t94=-0.631, p<0.529; 산도 t94=-0.390, p<0.697). McGregor (1976)에 따르면 딸기의 과실 크기와 생산량은 화분매개곤충의 활동에 크게 좌우된다고 한다. Miyamoto (2013)는 100 m2 딸기 시설하우스에서 활동하는 꿀벌의 수가 9.6~22.5마리면 90%이상의 정상과율을 확보할 수 있는 것으로 보고하였다. 본 연구에서 장원벌의 소문출입이 화분매개용 꿀벌보다 2배 많았음에도 과실 상품과율이나 무게가 차이가 나지 않았다는 것은 딸기 수분에 필요한 최소한의 꿀벌의 수에 두 품종의 벌 모두 도달했다라고 생각할 수 있다. 또한, 화분매개용 꿀벌과 장원벌의 상품과율, 과중, 당도, 산도에서 유의한 차이가 나타나지 않아 화분매개용 꿀벌과 장원벌의 화분매개 효과는 비슷한 것으로 판단된다.

Comparison of merchantable quality percentages of pollinating honeybeeand bees in strawberry greenhouses
수박과 딸기 시설재배에서 화분매개용 꿀벌과 장원벌의 화분매개 활동 특성을 비교한 결과, 대부분의 생산성과 과실 품질 지표에서 유의한 차이는 없었다. 장원벌은 입출입 활동성과 봉군 유지력에서 다소 우세했으나, 착과율과 상품과율 등 주요 수분 결과는 두 품종 모두 작물의 요구 수준을 충족하는 것으로 나타났다.
적 요
최근 이상 기후로 인한 국내 월동 꿀벌 봉군 수 감소와 이에 따른 봉군 가격 상승 (Kim, 2022)은 시설작물 재배 농가에 직·간접적인 영향을 미치고 있다. 본 연구는 수밀력이 높은 장원벌이 화분매개용 꿀벌보다 더 우수한 화분매개 효과를 나타낼 것으로 가정하고, 개화 특성이 다른 단기사용 작물 (수박)과 장기사용 작물 (딸기)에서 두 품종의 화분매개 효과를 비교하였다. 실험 결과, 수박에서는 화분매개 활동성, 착과율 및 생산물 특성에서 두 품종 간 유의미한 차이가 없었으며, 딸기에서는 장원벌의 소문 출입수가 일반 양봉꿀벌보다 2배 이상 높았으나 봉군 유지 및 생산성 면에서 유의한 차이가 확인되지 않았다. 이는 수밀력이 높은 형질만으로는 시설재배 환경에서 화분매개 효과를 보장하기 어렵다는 점을 시사한다. 따라서 향후 연구에서는 시설 내부의 온도, 습도, 광량 등의 환경 요인이 꿀벌의 화분매개 특성과 봉군 유지에 미치는 영향을 종합적으로 평가할 필요가 있다. 또한, 장원벌의 실질적인 활용 가능성을 검토하기 위해서는 꿀벌의 활동 반경을 고려하여 사과와 같은 노지 작물에서의 화분매개 효과를 추가적으로 연구할 필요가 있다.
Acknowledgments
본 연구는 농촌진흥청 연구사업 (연구개발과제명: 농작물별 화분매개용 꿀벌의 봉군 생산기술 확립, 과제번호: PJ0158705)을 수행하는 과정에서 얻은 결과를 바탕으로 작성되었습니다.
References
- Carman, H. 2011. The estimated impact of bee colony collapse disorder on almond pollination fees. ARE Update 14(5): 9-11. Giannini Foundation of Agricultural Economics, University of California.
-
Goodrich, B. K. 2019. Do more bees imply higher fees? Honey bee colony strength as a determinant of almond pollination fees. Food Policy 83: 150-160.
[https://doi.org/10.1016/j.foodpol.2018.12.008]
-
Hung, K. L. J., J. M. Kingston, M. Albrecht, D. A. Holway and J. R. Kohn. 2018. The worldwide importance of honey bees as pollinators in natural habitats. Proc. Biol. Sci. 285(1870): 20172140.
[https://doi.org/10.1098/rspb.2017.2140]
- Jung, J. H., T. B. Kim, Y. C. Heo, W. J. Lee, W. A. Jang, M. H. Sung, J. H. Lim and S. K. Lee. 2021. Watermelon cultivation. RDA press, Jeonju, Korea. p. 11, 12, 156.
- Kim, D. Y., O. R. Kim, S. I. Lee, H. J. Jeong, J. T. Seo, J. N. Lee, T. I. Kim, M. H. Nam, H. S. Kim, I. H. Lee, W. S. Jang, H. C. Lee, J. D. Jeong, H. S. Yoon, J. U. Ahn, J. B. Seo and M. H. Jang. 2017. Standard manual of characteristics investigation for breeding new varieties Strawberries, RDA press, Jeonju, Korea.
-
Kim, H. K. 2022. The Effect of Honey Bee Mites on the Winter Colony Losses. J. Apic. 37(3): 291-299.
[https://doi.org/10.17519/apiculture.2022.09.37.3.291]
-
Kim, J. E., S. G. Kim, S. J. Kang, C. S. Kim and Y. S. Choi. 2015. Characterization of Triple Crossed Honey bee (Apis mellifera, Jangwon) in Jeon-Nam Province. J. Apic. 30(4): 239-244.
[https://doi.org/10.17519/apiculture.2015.11.30.4.239]
- Lee, K. Y., H. J. Yoon, J. H. Lim, H. J. Ko and H. S. Bang. 2019a. Manual on the Use of Honeybees for Watermelon Pollination. RDA, Korea p. 8, 15, 35.
- Lee, K. Y., H. J. Yoon, J. H. Lim, H. J. Ko and H. S. Bang. 2019b. Manual on the Use of Honeybees for Strawberry Pollination. RDA, Korea p. 8, 11, 51.
- Lee, K. Y., H. J. Yoon, J. H. Lim, H. J. Ko and H. S. Bang. 2021. Manual on the Use of Honeybees for Strawberry Pollination. RDA, Jeonju, Korea.
-
Lee, K. Y., S. Choi, J. Lee and H. J. Yoon. 2020. Development of imaging-based honeybee traffic measurement system and its application to crop pollination. J. Apic. 35: 233-243.
[https://doi.org/10.17519/apiculture.2020.11.35.4.233]
-
Lee, K. Y., S. Kathanan, Y. B. Lee and H. J. Yoon. 2022. Effect of thermal insulation of honeybee (Apis mellifera L.) hive on strawberry pollination in greenhouse. J. Apic. 37(3): 207-216.
[https://doi.org/10.17519/apiculture.2022.09.37.3.207]
-
Lee, M. R., Y. S. Choi, D. W. Kim and M. Y. Lee. 2019c. Royal Jelly Productivity and Morphological Characteristics of Cross-bred of Apis mellifera L. in Korea. J. Apic. 34(1): 99-105.
[https://doi.org/10.17519/apiculture.2019.04.34.1.99]
- Lee, S. B., D. J. Kwon, N. G. Ha, H. J. Yoon, K. Y. Lee and H. S. Gang. 2008a. Characteristic on the pollinating activity of bumblebee spp. (Bombus ignitus & Bombus terrestris) and honeybee (Apis mellifera) in the watermelon houses on early spring season. J. Apic. 23: 161-166.
- Lee, S. B., H. J. Yoon, I. G. Park, Y. S. Kim, M. Y. Lee and M. L. Lee. 2006. Comparison on the pollinating activities of bumblebee, Bombus terrestris L. and honeybee, Apis mellifera L. (Hymenoptera: Apidae) in the strawberry houses. J. Apic. 21: 125-130.
- Lee, S. B., N. G. Ha, K. Y. Lee, H. J. Yoon, I. G. Park, H. S. Gang, S. J. Hwang, M. Y. Lee and K. Choi. 2008b. Characteristics and effects on the pollinating activities of honeybee, Apis mellifera L. and whitetailed bum blebee, Bombus terrestris L. (Hymenoptera: Apidae) in strawberry vinyl houses. J. Apic. 23: 73-81.
- McGregor, S. E. 1976. Insect pollination of cultivated crop plants. Agr. Res. Serv., Unites States Dep. of Agric., Handb. No. 496.
- Ministry of Agriculture, Food and Rural Affairs (MAFRA). 2023. February 23. Measures for early recovery and prevention of recurrence of overwintered honeybee damage [Press release]. Sejong, South Korea: Livestock Policy Division, Ministry of Agriculture, Food and Rural Affairs.
- Miyamoto, M., T. Koizumi, T. Tezuka and E. Tanaka. 2013. Recommended bee densities for strawberry culture in greenhouse. Bull. Gunma Agric. Tech. Cent. 10: 25-30.
-
Pisanty, G., O. Afik, E. Wajnberg and Y. Mandelik. 2016. Watermelon pollinators exhibit complementarity in both visitation rate and single-visit pollination efficiency. J. Appl. Ecol. 53(2): 360-370.
[https://doi.org/10.1111/1365-2664.12574]
-
Rajagopalan, K., G. DeGrandi-Hoffman, M. Pruett, V. P. Jones, V. Corby-Harris, J. Pireaud, R. Curry, B. Hopkins and T. D. Northfield. 2024. Warmer autumns and winters could reduce honey bee overwintering survival with potential risks for pollination services. Sci. Rep. 14: 5410.
[https://doi.org/10.1038/s41598-024-55327-8]
- Stanghellini, M. S., J. T. Ambrose and J. R. S. Chultheis. 1988. Pollination of cucurbits by honey bees and bumble bees. HortScience 23(3): 452-454.
- Statistics Korea. 2023. Crop Production Survey, Vegetable Production (Fruit Vegetables). Retrieved from [URL] (Accessed: March 20, 2025).
- Tsujikawa, Y. 1981. Honeybees in greenhouses, their effectson strawberries and a problem of UV-cut firm house. Honey bee Science 2: 49-56.
-
Walters, S. A. 2005. Honey bee pollination requirements for triploid watermelon. HortScience 40: 1268-1270.
[https://doi.org/10.21273/HORTSCI.40.5.1268]
- Yamada, M. 1981. Pollination of watermelon with honeybees in greenhouses. Honeybee Science 2(2): 60-62.
-
Yoon, H. J., K. Y. Lee, Y. B. Lee, M. Y. Lee and J. D. Park. 2021. Current Status of Insect Pollinators Use for Horticultural Crops in Korea, 2020. J. Apic. 36(3): 111-123.
[https://doi.org/10.17519/apiculture.2021.09.36.3.111]
