The APICULTURAL SOCIETY OF KOREA
[ Original research article ]
Journal of Apiculture - Vol. 40, No. 3, pp.271-280
ISSN: 1225-0252 (Print)
Print publication date 30 Sep 2025
Received 12 Aug 2025 Revised 09 Sep 2025 Accepted 09 Sep 2025
DOI: https://doi.org/10.17519/apiculture.2025.09.40.3.271

국내 권역별 아까시꿀(Robinia pseudoacacia)의 차이 구명을 위한 대사체 분석

박수원 ; 김효영 ; 우순옥 ; 최홍민 ; 김성국 ; 김선미 ; 이샘결 ; 이문선 ; 손윤곤 ; 임푸름*
농촌진흥청 국립농업과학원 농업생물부
Metabolomic Analysis to Characterize Regional Differences in Korean Acacia Honey (Robinia pseudoacacia)
Su Won Park ; Hyo Young Kim ; Soon Ok Woo ; Hong Min Choi ; Sung Kuk Kim ; Seon Mi Kim ; Samgyul Lee ; Mun Seon Lee ; Yun Gon Son ; Pu Reum Im*
Department of Agricultural Biology, National Institute of Agriculture Science, Rural Development Administration, Wanju 55365, Republic of Korea

Correspondence to: *E-mail: wkgur0727@korea.kr

Abstract

To investigate the metabolite composition of domestic acacia honey in Korea, samples were collected from 14 different regions and analyzed using ultra performance liquid chromatography-quadrupole time of flight mass spectrometry (UPLC-Q-TOF MS). Multivariate statistical analysis revealed significant regional differences in metabolite profiles, particularly between the Gyeongsang/Jeolla and Gyeonggi/Gangwon regions. Box plot analysis demonstrated high accuracy and precision, enabling clear differentiation of samples based on origin. A heatmap visualization of metabolite correlations showed generally lower metabolite abundance in Gyeongsang/Jeolla regions, while Gyeonggi/Gangwon regions exhibited higher metabolite abundance. Overall, this study identified key metabolites characteristic of each region and provides fundamental data applicable to metabolomic discrimination of acacia honey. Further studies are needed to develop a reliable origin authentication method for distinguishing domestic and imported acacia honey based on metabolomic markers.

Keywords:

Robinia pseudoacacia L., UPLC-Q-TOF MS, PLS-DA, Metabolites

서 론

아까시나무 (Robinia pseudoacacia L.)는 북미가 원산지인 나무이며 환경적응성이 뛰어나 전 세계적으로 분포되고 있는 수종이다 (Kim et al., 2022). 한국양봉협회에 등록된 농가를 대상으로 선호하는 밀원식물을 조사한 결과, 양봉 형태별 구분 없이 아까시나무 (Robinia pseudoacacia), 헛개나무 (Hovenia dulcis), 밤나무 (Castanea crenata)를 가장 선호하는 것으로 나타났다 (Kang et al., 2017). 특히 아까시나무는 응답자의 96%가 선호 밀원식물로서 가장 높은 선호를 받고 있으며, 아까시나무 다음으로 선호되는 헛개나무와 밤나무는 높은 화밀 분비량을 가지고 있다 (강, 2018). 국내 주요 밀원식물로써 오랜 시간 활용되어 온 아까시나무는 최근 개화 시기의 변화, 아까시나무림의 감소, 병충해 발생 등으로 인해 채밀활동에 많은 어려움이 생겼음에도 불구하고 여전히 양봉농가에서 가장 높은 선호를 받고 있다 (Kang et al., 2017).

국내 벌꿀 생산의 약 70% 정도는 아까시나무에 의존하고 있는데 (Choi et al., 2021), 그 이유는 아까시나무인 R. pseudoacacia는 매우 좋은 꿀 생산 잠재력 (4~6 등급)을 가지고 있으며 이는 꿀 생산을 위한 훌륭한 꽃꿀 공급원이기 때문이다 (Gismondi et al., 2018). 우리나라에서 주로 생산되는 양봉 산물로는 벌꿀과 로열젤리, 프로폴리스, 화분, 봉독 등이 있으며 (Han, 2015), 이 중 벌꿀이 전체 생산액 2,288억 중 53.7%인 1,228억 원을 차지하고 있다 (이 등, 2019). 벌꿀은 천연식품으로서의 기능성과 더불어, 그 생산지의 생태적, 환경적 특성을 반영하는 대표적인 지역 농산물로 간주된다.

하지만 우리나라에서 아까시나무 꽃의 개화기간은 약 10일 정도이며 (Jung et al., 2017), 최근 이상기후 변화로 인해 농가의 주요 수입원인 벌꿀 생산량이 급격히 감소하고 있습니다 (Kim et al., 2018; Oh et al., 2025). 기후 변화 중 온도, 강우, 풍속 등의 요인은 꿀벌 활동에 직접적인 영향을 미칠 뿐만 아니라 꿀벌의 생태에도 직간접적인 영향을 미침으로써 꿀 생산 및 화분 매개 등 전반적인 양봉 활동에 타격을 가한다 (Kim et al., 2021). 2018년에 발생한 이상기후로 천연꿀 생산량이 전년 대비 51.9% 감소하였으며, 양봉 농가의 순소득은 2017년 2,692만원에서 2018년 약 208만원으로 92.3% 감소하였다. 이로 인해 양봉농가에서는 소득 안정을 위한 추가 대책을 요구하고 있으며, 양봉산업의 지속적인 발전을 위해서는 신뢰성 있는 통계 시스템 구축과 과학적 데이터를 기반으로 한 고급화 전략이 필요하다 (이 등, 2019).

대사체는 유전자 전사의 최종 산물로서 시료 내 저분자 물질의 기원, 처리 이력, 품질 특성 등을 구명할 수 있는 유망한 방법으로 주목받고 있다 (Wang et al., 2019). 일반적으로 꿀의 지역을 구분하는 기존의 판별법은 주로 꿀의 당 조성 분석, 안정동위원소 비율 분석, 화분 스펙트럼 분석 등을 기반으로 하였다. 그러나 이러한 방법들은 꿀의 기능성이나 품질 차별화 요소를 반영하지 못하며, 고가의 분석 장비가 필요한 한계가 있다. 벌꿀에는 관능적 특성인 외관, 색, 맛, 점도, 향, 풍미 외에도 이화학적 특성인 수분, 단백질, 탄수화물, 비타민, 무기질 등 생리활성 물질이 함유되어 있다. 대표적인 생리활성 물질은 플라보노이드와 페놀산이며, 이들은 항균 및 항암 활성뿐만 아니라 산화 스트레스 조절 기능을 나타낸다 (Pauliuc et al., 2021; Hamadou et al., 2022). 대사체 분석은 이러한 저분자 생리활성 물질을 효과적으로 탐색할 수 있는 방법으로, 기능성 중심의 품질 평가뿐만 아니라 지역별 특성화 전략 수립에도 활용 가능성이 높을 것으로 판단된다. 또한 대사체 분석에 주로 사용되는 액체 크로마토그래피-질량 분석법 (LC-MS)은 복잡한 매트릭스 내에서 다양한 성분을 신속하게 분석할 수 있다는 장점이 있다 (Chen et al., 2010). 국내 권역별 아까시꿀 생산량 및 품질에 관련된 연구는 진행되고 있으나, 생리활성과 관련이 있는 대사체 수준에서의 지역별 차이에 대한 연구는 미흡한 실정이다. 따라서 본 연구에서는 LC/MS 기반 대사체 분석을 통해 국내 14개 지역의 아까시꿀 대사체 차이점을 비교 분석하여 국내 권역별 (북부, 중부, 남부) 꿀 특성화에 대한 기초자료를 제공하고자 한다.


재료 및 방법

1. 재료 및 시약

본 연구에서는 아까시꿀을 북부 (연천, 파주, 철원), 중부 (이천, 화성, 구미, 김천, 안동, 예천, 상주), 남부 (창녕, 함안, 화순, 김제) 총 14개 지역에서 2024년도 국내 농가에서 채집하였다. 아까시꿀을 추출하는데 사용한 용매는 에틸아세테이트 (ethyl acetate, EA)와 메탄올 (methanol)이며, SK chemicals (Seongnam, Korea)에서 구입하였다. 아까시꿀에 함유된 성분은 Ultra performance liquid chromatography-quadrupole time of flight mass spectrometry (UPLC-Q-TOF MS, XevoTM G2-S, Waters, Milford, MA, USA)을 이용하여 분석하였다. UPLC-Q-TOF MS에 사용된 유기용매 및 탈이온수는 Fisher Brand (Pittsburgh, PA, USA)에서 구입하여 trifluoroacetic acid (Sigma-Aldrich, St. Louis, MO, USA)를 0.2%가 되도록 첨가하여 사용하였다.

2. 아까시꿀 전처리 과정

산지별 아까시꿀에 함유된 성분을 비교 분석하기 위해 꿀 0.1 g에 3차 증류수 500 μL를 첨가하여 water bath에 70°C에 5분간 반응시켜 균질화하였다. 용매별 최적 추출법은 Moon et al. (2024)을 참고하여 ethyl acetate 500 μL를 첨가하여 초음파 기기 (Branson 8510, Emerson Electric Co., Ltd., St. Louis, MO, USA)를 이용하여 60분간 추출하였다. 초음파 처리 후 원심분리기 (Hanil Science, Gimpo, Korea)를 이용하여 14,000 rpm에서 10분간 원심분리 후 침전물과 상층액을 분리하였다. 상층액 300 μL를 회수하여 water bath에 90°C로 반응시켜 완전히 증발시켰다. 이후 100% 메탄올 100 μL를 첨가하여 vortexing 후 원심분리 (14,000 rpm, 10 min)하여 침전물과 상층액을 분리하였다. 이후 회수한 상등액은 vial을 따내어 UPLC-Q-TOF MS에 주입하여 분석하였다.

3. UPLC-Q-TOF MS 분석

아까시꿀의 대사물질 비교를 위한 UPLC-Q-TOF MS (XevoTM G2-S, Waters) 기기 분석조건은 Table 1에 제시하였다. 분석 컬럼은 ACQUITY UPLC BEH C18 (2.1 mm×100 mm, 1.7 μm; Waters)을 사용하였다. 이동상은 용매 A (0.1% formic acid in water)와 용매 B (0.1% formic acid in acetonitrile)이며, 분석 컬럼의 유속은 0.35 mL/min, 컬럼온도는 40°C였다. 주입양은 1 μL이고, 컬럼에서 통과하여 나온 물질은 Q-TOF MS-positive electrospray ionization (ESI) mode로 분석하였다. Q-TOF MS data는 50~1,500 m/z의 scan range, 0.2 s의 scan time, 3 kV의 capillary voltage, 30 V의 sampling cone voltage, 800 L/h의 desolvation 유속, 400°C의 desolvation 온도, 100°C의 source 온도 조건에서 분석하였다. 기기로 분석된 대사산물의 질량 측정의 정확성을 확보하기 위하여 lock mass로 leucine-enkephalin [(M+H)=556.2771]을 사용하였고 30 μL/min의 유속으로 10초 주기마다 주입하였다. MS/MS spectra는 collision energy ramp (10 to 40eV), 50~1,500 m/z 조건하에서 얻었다. 검출된 대사물질은 UNIFI version 1.9.2.045 (Waters)을 사용하였다. UPLC-Q-TOF MS와 LC/MS를 사용하여 얻은 데이터는 ChemSpider database와 Meltlin database (meltlin.scripps.edu), human metabolome databases (www.hmdb.ca), EZmass database, authentic standards를 사용하여 동정하였다.

Instrumental conditions for liquid chromatography-tandem mass spectrometry (LC-MS/MS) used for the analysis of domestic acacia honey

4. 통계분석

SIMCA-P+ version 18.0.1 (Umetrics, Umeå, Sweden)을 사용하여 통계적으로 분석하였다. 특히 Partial least squares-discriminant analysis (PLS-DA)는 분석한 결과를 시각화하기 위하여 사용되었으며, R2X, R2Y, Q2, p-value, permutation test, MS fragments를 이용하여 교차 검증하였다. 동정된 물질들의 상대적 함량 비교는 Box plot을 사용하여 시각화하였다. 또한 Pearson 상관계수는 R 소프트웨어를 사용하여 계산하였으며 heatmap은 사용하여 시각화하였다. 각 변수의 통계적 유의성은 SPSS 27.0 (SPSS Inc., Chicago, IL, USA)을 이용하여 일원 분산 분석 (one-way analysis of variance, ANOVA)을 수행한 후 Duncan’s test (p<0.05)를 통해 유의성을 검증하였다.


결과 및 고찰

1. LC/MS chromatogram을 이용한 국내 권역별 아까시꿀의 패턴 분석

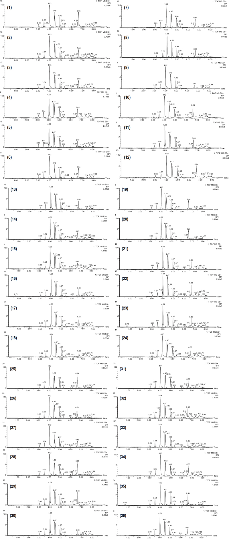
Fig. 1은 14종 아까시꿀에 검출된 대사물질을 LC/MS를 이용하여 비교한 결과이다. 총 28종의 대사물질 중, 다음과 같은 9가지 성분이 주요 물질로 동정되었다 (Table 2); 2-Amino-2-[(octyloxy)methyl]-1,3-propanediol, tetradecaphytosphingosine, C16 phytosphingosine, sphinganine, C20 phytosphingosine, stearmide, dihydroxyethylstearamineoxide / PEG-3 palmitamine, cetyl-stearyl-amine, N-[2-(1-Cyclohexen-1-yl)ethyl]tetradecanamide. 아까시꿀의 공통된 화학적 특성은 탄소 골격 구조와 페놀기 (-OH) 구조로, 이는 자유라디칼을 소거하여 꿀의 항산화 능력을 강화시킨다. 또한 대부분 스핑고리피드 계열, 지방산 아마이드 유도체가 공통으로 발견되었다. 이 외에도 다양한 대사물질이 존재하는 것을 확인할 수 있으며 꿀, 프로폴리스 등에서 흔히 검출되는 폴리페놀 유래 대사산물의 발견되었다. Lee et al. (2012)의 연구에 따르면 phytosphingosine은 식물, 균류 외에도 동물에도 적게 함유되어 있다고 보고하여 이와 관련된 대사물질들이 다른 꿀 및 벌 조직이나 유충 등에서도 발견되는 것을 알 수 있다. Sphingosine이나 phytosphingosine에 지방산이 결합된 구조인 세라마이드 (ceramide)는 피부 지질의 약 40%로 세포막을 구성하며 피부 장벽 기능에 관여하는 것으로 알려져 있다. 피부 지질은 세포의 분열, 분화를 조절하고 피부 수분 증발을 방지하는 기능을 담당하여 기능성 화장품에 넓게 사용된다 (Kwon et al., 2005; Lee et al., 2012; 김진욱, 2015).

Fig. 1.

Representative liquid chromatography-mass spectrometry (LC-MS) chromatograms of acacia honey from regions in Korea. The x-axis indicates retention time (min), and the y-axis shows normalized intensity. Each number corresponds to a specific region as follows; (1~3) Gumi, (4~6) Gimje, (7~9) Gimcheon, (10~12) Sangju, (13~15) Andong, (16~18) Yeoncheon, (19~20) Yecheon, (21~23) Icheon, (24) Changnyeong, (25~27) Cheorwon, (28~30) Paju, (31~32) Haman, (33~35) Hwaseong, (36) Hwasun.

9 compounds commonly detected among 28 constituents in acacia honeys from different regions of Korea

2. PLS-DA 분석을 통한 국내 권역별 아까시꿀의 대사체 차이 분석

UPLC-Q-TOF MS를 이용하여 아까시꿀에 들어있는 대사물질들을 비교 분석하였으며, 권역별 간의 차이를 다변량 통계분석을 이용하여 시각화하였다 (Fig. 2). PLS-DA 분석을 통해 두 가지 그룹 (경상/전라, 경기/강원)의 quality parameters를 분석한 결과 (Fig. 2A), 모든 시료들이 두 개의 주성분인 t1 (18.6%)과 t2 (9.02%)를 기준으로 경상/전라는 대부분 아래쪽에 집단을 형성하며 분포하였고, 경기/강원은 대부분 위쪽에 집단을 형성하며 분포하는 것을 확인할 수 있다. 이를 통해 PLS-DA scores scatter plot 상에서 경상/전라와 경기/강원이 유의미한 군집 분리가 되는 것을 확인할 수 있다. 그리고 fit quality를 보여주는 R2 값이 R2X=0.276, R2Y=0.531이고, prediction quality를 보여주는 Q2 값은 Q2=0.389로 나타났다. 일반적으로 R2 값이 0.4 이상일 때 이상적인 결과로 판단된다. R2X 값이 조금 낮게 나타났으나, R2Y 값은 0.5 이상으로 권역별로 그룹이 나누어짐을 확인할 수 있다. 또한, p-value<0.05 으로, PLS-DA 모델이 그룹 간의 통계적인 유의성이 있음을 확인하였다. 교차검증을 위해 실시한 Permutation test 결과 (Fig. 2B), 원래 모델의 R2 값과 Q2 값이 무작위로 재배열된 데이터에서 생성된 모델들의 값보다 높아, 모델의 유효성이 검증되었다. 결론적으로 국내 권역별 아까시꿀을 비교하였을 때 통계적으로 유의하게 권역별 차이가 있음을 확인할 수 있다.

Fig. 2.

Partial least squares discriminant analysis (PLS-DA) score plot (A) and quality parameter comparison (B) of domestic acacia honey analyzed using ultra performance liquid chromatography-quadrupole time of flight mass spectrometry (UPLC-Q-TOF MS).

3. UPLC-Q-TOF MS 기반 국내 아까시꿀 판별 지표 물질 탐색

PLS-DA 모델에서 아까시꿀 간의 차이에 관여하는 주요 물질들을 분석한 결과 총 30종의 물질들이 동정되었다 (Table 3). Exact mass 값과 MS fragment 패턴을 기준으로 물질들을 동정하였는데, Exact mass 값은 분자량에 H가 붙은 형태인 M+H 값이고, MS fragment는 각 물질들이 쪼개져서 나온 주요 조각들이다. Variable important in the projection (VIP) 값은 국내 권역별 간의 차이에 관여하는 주요 물질들을 확인하는데 중요한 지표로 간주된다. VIP≥0.7, p-value<0.05에 해당하는 대사물질은 5가지로, tetradecaphytosphingosine [+HCOO], C 20 sphinganine, dihydroxyethyl stearamineoxide / PEG-3 palmitamine, linoleamide fragment, armillaramide 성분이다. 이들은 권역별 아까시꿀 간의 차이에 주로 관여하는 대사물질인 것으로 확인되었으며, 이들의 공통점은 스핑고리피드 및 지방산 아마이드 유도체이다. 주요 대사물질들의 상대적 함량을 비교하여 권역별 환경적 요인과 생물학적 상호작용에 따른 상관성이 있는지 알아보고자 한다.

Identification of metabolites in domestic acacia honey using ultra performance liquid chromatography-quadrupole time of flight mass spectrometry (UPLC-Q-TOF MS)

4. 국내 아까시꿀의 주요 대사체의 함량 비교 분석 (Box plot 활용)

국내 권역별 아까시꿀 간의 차이에 주로 관여하는 대사물질 분포를 확인하기 위해 Box plot분석을 수행하여 Fig. 3에 나타내었으며, Table 3에서 동정된 대사물질 중 VIP≥0.7, p-value<0.05인 5종을 선별하였다. 동정된 물질들의 상대적 함량을 비교한 결과, dihydroxyethyl stearamineoxide / PEG-3 palmitamine 성분은 가장 높은 평균값을 나타내었고, tetradecaphytosphingosine 성분은 가장 낮은 평균값을 나타내었다. 4가지 성분인 tetradecaphytosphingosine, C 20 sphinganine, dihydroxyethyl stearamineoxide / PEG-3 palmitamine, armillaramide 성분은 일부 대사물질들이 표준편차를 벗어났으나 대체로 평균값에 밀집하게 몰려있음을 확인하였다. 즉, Box plot 상에서 경상/전라와 경기/강원이 정확성과 정밀성이 높아 유의적으로 분리되는 것을 확인할 수 있다. 반면에 linoleamide fragment의 경우 같은 권역별에서도 편차를 벗어났는데, 이는 지역별 꿀 자체에서 차이가 나는 시료로 추정된다. 꿀의 화학적 조성은 밀원식물의 종류와 지역적 특성에 따라 달라지기 때문에, 단순한 대사체 분석을 넘어 동일한 조건으로 연도 간 반복적인 조사가 필요할 것으로 판단된다 (Lee et al., 2025).

Fig. 3.

Box plot of relative metabolite abundances in domestic acacia honey that significantly contribute to group discrimination. The xaxis indicates the country of origin, and the y-axis shows normalized chromatogram intensities.

5. Heatmap 분석을 통한 국내 아까시꿀의 대사체 군집 패턴 분석

국내 권역별 아까시꿀의 대사물질들의 relative abundance를 heatmap으로 시각화하였다 (Fig. 4). 두가지 그룹 (경상/전라, 경기/강원)의 대사물질 상관관계를 파악한 결과, 경상/전라는 다른 지역들에 비해 낮은 함량을 보였다. 특히 김천, 안동, 예천, 상주 지역은 모든 성분이 낮은 함량을 보였는데, 이 4가지 지역은 경북 북부 내륙 지대로 복합 밀원 지역이다. 아까시밀권 중심의 남부 내륙 평야 지대인 창녕, 함안은 높은 함량을 나타내는 것을 확인할 수 있다. 함안 지역의 C 20 sphinganine, linoleamide fragment 성분과 화순 지역의 armillaramide 성분이 가장 높은 함량을 보였다. 그리고 경기 / 강원은 연천 지역을 제외하고 대부분 높은 함량을 보였다. 특히 화성 지역은 dihydroxyethyl stearamineoxide / PEG-3 palmitamine, armillaramide, tetradecaphytosphingosine 성분이 가장 높은 함량을 보였다. 이를 통해 경북 북부 내륙지대는 모두 낮은 함량을 나타낸 점과 남부 내륙 평야 지대와 경기/강원은 대부분 높은 함량을 보인 점을 알 수 있다. 이를 통해 권역별 주요 대사물질에 대한 정보를 제공함으로써 판별 지표의 기초자료를 제공하였다. 다만, 본 연구는 분석 대상 지역이 제한적이고 단일 연도에 국한되어 수행되었으므로, 향후 연구에서는 다양한 지역과 장기간에 걸친 자료를 포함한 후속 연구가 필요할 것이다. 이 외에도 일부 대사물질이 같은 권역별에서도 다른 상관관계를 나타내는지에 대한 추가연구가 필요할 것으로 요구된다.

Fig. 4.

Heatmap of metabolite profiles in domestic acacia honey samples from different regions. The order of samples from left to right is as follows: Changnyeong, Haman, Gumi, Gimcheon, Andong, Yecheon, Sangju, Hwasun, Gimje, Cheorwon, Icheon, Hwaseong, Paju, Yeoncheon.


적 요

본 연구에서는 UPLC-Q-TOF MS를 이용하여 국산 권역별 아까시꿀의 대사물질들을 분석하고, 아까시꿀 간의 차이에 주로 관여하는 대사물질을 확인하였다. 9가지 성분에서 스핑고리피드 계열, 지방산 아마이드 유도체, 탄소 골격 구조, 페놀기 (-OH) 구조 등이 공통적으로 발견되었다. 이는 꿀의 항산화 능력과 피부 장벽 기능을 가져 기능성 화장품에 넓게 사용된다. 다변량 통계분석 (PLS-DA)을 이용하여 시각화한 결과, 경상/전라와 경기/강원이 통계적으로 유의하게 권역별 차이가 있음을 확인할 수 있다. PLS-DA 모델에서 아까시꿀 간의 차이에 관여하는 주요 물질들을 분석한 결과, 총 30종의 물질들이 동정되었다. 그중 VIP≥0.7, p-value<0.05 에 해당하는 5종은 국내 권역별 간의 차이에 주로 관여하는 대사물질들인 것을 확인할 수 있다. 대사물질 분포를 확인하기 위해 Box plot으로 나타낸 결과, tetradecaphytosphingosine, C 20 sphinganine, dihydroxyethyl stearamineoxide / PEG-3 palmitamine, armillaramide 성분이 경상/전라와 경기/강원이 정확성과 정밀성이 높아 유의적으로 분리되는 것을 확인할 수 있다. 마지막으로 다양한 대사물질 상관관계를 파악하기 위해 heatmap으로 시각화한 결과, 경상/전라는 다른 지역들에 비해 낮은 함량을 보였다. 그리고 경기/강원은 연천 지역을 제외하고 대부분 높은 함량을 보였다. 비록 본 연구에서 국내 권역별 아까시꿀이 기능성 화장품에 어떻게 적용되는지 평가하지 못하였으나, 다변량 통계분석을 통해 주요 대사물질에 대한 정보를 제공함으로써 아까시꿀 대사물질의 효율적인 활용을 위한 기초자료를 제공하였다. 다만 기후 변화로 인해 생리, 생태 변화를 일으킬 수 있으므로 연도 간 반복적인 조사가 필요할 것으로 판단된다. 또한, 수입산 아까시꿀의 원산지 판별법을 개발하는데 유용한 과학적 근거를 제공할 수 있을 것으로 기대된다.

Acknowledgments

본 연구는 농촌진흥청 어젠다 연구사업 (과제번호: PJ01745702)의 지원에 의하여 수행되었습니다. 또한 본 연구는 2025년도 농촌진흥청 국립농업과학원 전문연구 원 과정 지원사업에 의하여 수행된 것으로 이에 감사드립 니다.

References

  • 강동윤. 2018. 복합밀원단지 조성을 위한 밀원식물의 선정 및 경제적 파급효과 분석 (Doctoral dissertation, 서울대학교 대학원).
  • 김진욱. 2015. Lipids and Skin Barrier: Role of Ceramide in Skin Barrier. 한국피부장벽학회지 17: 36-49.
  • 이정민, 김용렬, 김창호, 우성휘. 2019. 양봉산업의 위기와 시사점. 한국농촌경제연구원 농정포커스, 1-27.
  • Chen, D., Y. Tao, Z. Liu, Z. Liu, Y. Wang, L. Huang and Z. Yuan. 2010. Development of a liquid chromatography-tandem mass spectrometry (LC-MS/MS) method for the quantification of glucocorticoid residues in edible tissues of swine, cattle, sheep, and chicken. Food Addit. Contam. Part A 27: 1363-1371. [https://doi.org/10.1080/19440049.2010.492530]
  • Choi, J. Y., K. Y. Lim, M. S. Oh and S. H. Lee. 2021. Foraging activity of honeybee and seasonal composition of major honey plants in central area of South Korea. J. Apic. 36: 125-139. [https://doi.org/10.17519/apiculture.2021.09.36.3.125]
  • Gismondi, A., S. De Rossi, L. Canuti, S. Novelli, G. Di Marco, L. Fattorini and A. Canini. 2018. From Robinia pseudoacacia L. nectar to Acacia monofloral honey: Biochemical changes and variation of biological properties. J. S. Food Agric. 98: 4312-4322. [https://doi.org/10.1002/jsfa.8957]
  • Hamadou, W. S., N. Bouali, R. Badraoui, R. H. Lajimi, A. Hamdi, M. Alreshidi, M. Patel, M. Adnan, A. J. Siddiqui, E. Noumi, V. R. Pasupuleti and M. Snoussi. 2022. Chemical composition and the anticancer, antimicrobial, and antioxidant properties of acacia honey from the Hail region: The in vitro and in silico investigation. Evidence-Based Complementary and Alternative Medicine 2022: 1518511. [https://doi.org/10.1155/2022/1518511]
  • Han, J. H. 2015. A study on management of apiary and main factors for developing the beekeeping industry in Korea. Korean J. Apic. 30: 127-133. [https://doi.org/10.17519/apiculture.2015.06.30.2.127]
  • Jung, J. W., H. S. Lee, G. R. Noh, A. Lee, M. S. Kim, S. H. Kim and H. W. Kwon. 2017. Comparative study on the composition of floral volatile components in the flowering stages of Robinia pseudoacacia L. J. Apic. 32: 139-146. [https://doi.org/10.17519/apiculture.2017.09.32.3.139]
  • Kang, D. Y., A. Seol, J. C. Oh, Y. K. Jung, H. Han and J. S. Chung. 2017. Analyzing the management characteristics of beekeeping households according to their beekeeping types. J. Apic. 32: 1-9. [https://doi.org/10.17519/apiculture.2017.04.32.1.1]
  • Kim, K. M., M. Y. Lee, Y. S. Choi, E. J. Kang, H. G. Park, B. S. Park, O. Frunze, J. G. Kim, S. M. Han, S. O. Woo, S. G. Kim, H. Y. Kim, S. K. Kim and D. W. Kim. 2021. Status and environmental factors of the annual production of acacia honey from the false acacia (Robinia pseudoacacia) in South Korea. J. Apic. 36: 11-16. [https://doi.org/10.17519/apiculture.2021.04.36.1.11]
  • Kim, S. R., J. E. Song, C. H. Park, S. H. Min, S. H. Hong, J. H. Yun and Y. M. Son. 2022. Development of diameter distribution change and site index in a stand of Robinia pseudoacacia, a major honey plant. J. Korean Soc. For. Sci. 111: 311-318.
  • Kim, S. G., S. O. Woo, K. W. Wang, H. R. Jang and S. H. Han. 2018. Chemical composition of drone pupa of Apis mellifera and its nutritional evaluation. J. Apic. 33: 17-23. [https://doi.org/10.17519/apiculture.2018.04.33.1.17]
  • Kwon, M. S., T. B. Choi and G. Y. Kim. 2005. The effect on the skin barrier function of ceramide. Kor. J. Aesthet. Cosmetol. 3: 131-137.
  • Lee, J. P., K. S. Lee, K. K. Lee, S. W. An and D. K. Lee. 2012. Preparation of phytosphingosine-1-phosphate nano-liposome and its in vivo anti-aging improvement effects of finished products. Kor. J. Aesthet. Cosmetol. 10: 941-948.
  • Lee, M. S., H. Y. Kim, H. M. Choi, S. M. Kim, S. G. Lee and S. O. Woo. 2025. Comparative morphological analysis of mixed pollen in robinia honey and nectar plants around apiaries in Korea. J. Apic. 40: 65-74. [https://doi.org/10.17519/apiculture.2025.04.40.1.65]
  • Moon, S. Y., S. O. Woo, H. M. Choi, S. K. Kim, S. M. Kim, M. S. Lee and H. Y. Kim. 2024. Comparative analysis of false acacia (Robinia pseudoacasia) honey from different origins through optimization of preparation. J. Apic. 39: 239-244. [https://doi.org/10.17519/apiculture.2024.09.39.3.239]
  • Oh, S. J., K. S. Shim and J. H. Park. 2025. Predicting blooming and fall dates for Robinia pseudoacacia using machine learning. J. Apic. 40: 57-64. [https://doi.org/10.17519/apiculture.2025.04.40.1.57]
  • Pauliuc, D., M. Oroian and P. Ciursă. 2021. Organic acids content, sugars content and physicochemical parameters of Romanian acacia honey. Ukr. Food J. 10: 158-170. [https://doi.org/10.24263/2304-974X-2021-10-1-14]
  • Wang, L., I. Meeus, C. Rombouts, L. V. Meulebroek, L. Vanhaecke and G. Smagghe. 2019. Metabolomics-based biomarker discovery for bee health monitoring: A proof of concept study concerning nutritional stress in Bombus terrestris. Scientific Reports 9: 11423. [https://doi.org/10.1038/s41598-019-47896-w]

Fig. 1.

Fig. 1.
Representative liquid chromatography-mass spectrometry (LC-MS) chromatograms of acacia honey from regions in Korea. The x-axis indicates retention time (min), and the y-axis shows normalized intensity. Each number corresponds to a specific region as follows; (1~3) Gumi, (4~6) Gimje, (7~9) Gimcheon, (10~12) Sangju, (13~15) Andong, (16~18) Yeoncheon, (19~20) Yecheon, (21~23) Icheon, (24) Changnyeong, (25~27) Cheorwon, (28~30) Paju, (31~32) Haman, (33~35) Hwaseong, (36) Hwasun.

Fig. 2.

Fig. 2.
Partial least squares discriminant analysis (PLS-DA) score plot (A) and quality parameter comparison (B) of domestic acacia honey analyzed using ultra performance liquid chromatography-quadrupole time of flight mass spectrometry (UPLC-Q-TOF MS).

Fig. 3.

Fig. 3.
Box plot of relative metabolite abundances in domestic acacia honey that significantly contribute to group discrimination. The xaxis indicates the country of origin, and the y-axis shows normalized chromatogram intensities.

Fig. 4.

Fig. 4.
Heatmap of metabolite profiles in domestic acacia honey samples from different regions. The order of samples from left to right is as follows: Changnyeong, Haman, Gumi, Gimcheon, Andong, Yecheon, Sangju, Hwasun, Gimje, Cheorwon, Icheon, Hwaseong, Paju, Yeoncheon.

Table 1.

Instrumental conditions for liquid chromatography-tandem mass spectrometry (LC-MS/MS) used for the analysis of domestic acacia honey

MS/MS Parameters Conditions
Instrument UPLC-Q-TOF MS
Column type ACQUITY UPLC BEH C18
(2.1 mm×100 mm, 1.7 μm; Waters)
Column temperature 40°C
Flow rate 0.35 mL/min
Mobile phase (A) 0.1% formic acid in water
(B) 0.1% formic acid in acetonitrile (ACN)
Injection volume 1 μL
Ionization mode Electrospray ionization positive mode
Capillary voltage 3 kV
Cone voltage 30 kV
Desolvation temperature 400°C
Desolvation gas flow 800 L/h
Source temperature 100°C

Table 2.

9 compounds commonly detected among 28 constituents in acacia honeys from different regions of Korea

No. Compounds Retention time (RT)
1 2-Amino-2-[(octyloxy)methyl]-1,3-propanediol 3.06
2 tetradecaphytosphingosine 3.54
3 C16 phytosphingosine 4.03
4 sphinganine 4.47
5 C20 phytosphingosine 4.97
6 stearmide 5.07
7 dihydroxyethylstearamineoxide / PEG-3 palmitamine 5.36
8 cetyl-stearyl-amine 6.57
9 N-[2-(1-Cyclohexen-1-yl)ethyl]tetradecanamide 7.05

Table 3.

Identification of metabolites in domestic acacia honey using ultra performance liquid chromatography-quadrupole time of flight mass spectrometry (UPLC-Q-TOF MS)

No. RT (min) Compound Exact mass MS Fragments VIP p-value
M+H
1 3.06 2-Amino-2-[(octyloxy)methyl]-1,3-propanediol 234.2055 88, 118, 186 1.55 0.196
2 3.19 tricoumaroyl spermidine 584.2746 147, 204, 292, 420, 438 0.55 0.379
3 3.27 Antonin 247.1316 135 1.13 0.657
4 3.48 rhamnetin/methoxyluteolin/methoxyquercetin 317.0643 287, 302 0.92 0.115
5 3.48 tetradecasphinganine 246.2416 228 0.49 0.656
6 3.53 tetradecaphytosphingosine [+HCOO] 306.2625 74, 122, 214, 246 1.12 0.045
7 3.99 Hexadecasphinganine 274.2733 106, 230, 256 0.44 0.359
8 4.03 C16 phytosphingosine 290.2720 74, 118, 242 1.24 0.085
9 4.15 chrysin 255.0643   1.39 0.632
10 4.22 myristamine oxide 258.2415 240 1.77 0.505
11 4.49 sphinganine 302.3043 88, 106, 284 0.74 0.544
12 4.50 Phytosphingosine [+HCOO] 362.3252   1.31 0.081
13 4.52 Phytosphingosine 318.3012 74, 118, 132, 270 1.25 0.062
14 4.64 erythro-sphingosine/palmitylethanolamide 300.2883 282 0.96 0.121
15 4.94 C20 sphinganine 330.3354 88, 106, 312 0.73 0.017
16 4.96 C20 phytosphingosine 346.3317 74, 122, 298 1.26 0.327
17 5.03 stearamide 356.3510 310, 328, 338 0.97 0.186
18 5.05 C4 Dihydroceramide/stearic acid diethanol amide 372.3466 88, 118, 324 1.27 0.054
19 5.20 stearyldiethanolamine 358.3666 200 1.31 0.083
20 5.34 dihydroxyethyl stearamine oxide/PEG-3 palmitamine 374.3619 326 1.12 0.002
21 5.38 octadecylamine 270.3142   0.79 0.065
22 5.49 spisulosine/palmitamine oxide 286.3092 268 1.21 0.071
23 6.22 linoleamide 280.2624 263 1.11 0.128
24 6.22 linoleamide fragment 263.2354   0.52 0.005
25 6.36 diacetylamine 466.5334   0.91 0.387
26 6.42 armillaramide 556.5283 283 1.18 0.018
27 6.51 cetyl-stearyl-amine 494.5651   1.29 0.343
28 7.14 N-[2-(1-Cyclohexen-1-yl)ethyl]tetradecanamide 336.3246 256 0.72 0.501
29 7.21 palmitamide/diethyllauramide 256.2606 88 1.40 0.718
30 7.60 erucamide 338.3404 95, 240, 268, 282, 321 0.33 0.422